Company AAB is located in Country A with the A$ as its functional currency It plans to grow by acquisition and has identified Company BBA as a potential takeover candidate Company BBA is located in Country B with the BS as its functional currency.
The directors of Company AAB are concerned about foreign currency risk if the acquisition goes ahead
Which of the following will be most effective in reducing Company AAB's exposure to translation risk if the acquisition is successful1?
The directors of a unlisted manufacturing company have prepared a valuation of their company using the price-earning method.
Their calculation is:
Value if the company‘s equity = $6 million x 10 =$60 million where.
Which THREE of the following are weakness of this valuation?
A listed company in a high growth industry, where innovation is a key driver of success has always operated a residual dividend policy, resulting in volatility in dividends due to periodic significant investments in research and development.
The company has recently come under pressure from some investors to change its dividend policy so that shareholders receive a consistent growing dividend. In addition, they suggested that the company should use more debt finance.
If the suggested change is made to the financial policies, which THREE of the following statements are true?
Company M is a listed company in a highly technical service industry.
The directors are considering making a cash offer for the shares in Company Q, an unquoted company in the same industry.
Relevant data about Company Q:
• The company has seen consistent growth in earnings each year since it was founded 10 years ago.
• It has relatively few non-current assets.
• Many of the employees are leading experts in their field. A recent exercise suggested that the value of the company's human capital exceeded the value of its tangible assets.
The directors and major shareholders of Company Q have indicated willingness to sell the company.
Before negotiations become too advanced, the directors of Company M are considering the benefits to their company that would follow the acquisition.
Which THREE of the following are the most likely benefits of the acquisition to Company M's shareholders?
Which THREE of the following methods of business valuation would give a valuation of the equity of an entity, rather than the value of the whole entity?
Company E is a listed company. Its directors are valuing a smaller listed company, Company F, as a possible acquisition.
The two companies operate in the same markets and have the same business risk.
Relevant data on the two companies is as follows:

Both companies are wholly equity financed and both pay corporate tax at 30%.
The directors of Company E believe they can "bootstrap" Company F's earnings to improve performance.
Calculate the maximum price that Company E should offer to Company F's shareholders to acquire the company.
Give your answer to the nearest $million.
A company needs to raise $20 million to finance a project.
It has decided on a rights issue at a discount of 20% to its current market share price.
There are currently 20 million shares in issue with a nominal value of $1 and a market price of $5 per share.
Calculate the terms of the rights issue.
A venture capitalist invests in a company by means of buying:
• 9 million shares for $2 a share and
• 8% bonds with a nominal value of $2 million, repayable at par in 3 years' time.
The venture capitalist expects a return on the equity portion of the investment of at least 20% a year on a compound basis over the first 3 years of the investment.
The company has 10 million shares in issue.
What is the minimum total equity value for the company in 3 years' time required to satisify the venture capitalist's expected return?
Give your answer to the nearest $ million.
$ million.
A listed company plans to raise new capital which will be required for future investment projects. The company has a gearing ratio of 50%, which is just below the company's target ratio.
The directors are comparing the benefits and drawbacks of each of the following two alternative sources of finance;
• Unsecured bank borrowings.
• Convertible bonds.
Which of the following statements is correct?
An all equity financed company reported earnings for the year ending 31 December 20X1 of $8 million.
One of its financial objectives is to increase earnings by 5% each year.
In the year ending 31 December 20X2 it financed a project by issuing a bond with a $1 million nominal value and a coupon rate of 4%.
The company pays corporate income tax at 20%.
If the company is to achieve its earnings target for the year ending 31 December 20X2, what is the minimum operating profit (profit before interest and tax) that it must achieve?
Company A has a cash surplus.
The discount rate used for a typical project is the company's weighted average cost of capital of 10%.
No investment projects will be available for at least 2 years.
Which of the following is currently most likely to increase shareholder wealth in respect of the surplus cash?
The table below shows the forecast for a company's next financial year:

The forecast incorporates the following assumptions:
• 25% of operating costs are variable
• Debt finance comprises a $400 million fixed rate loan at 5%
• Corporate income tax is paid at 25%
The company plans to do the following next year from the forecast earnings on the assumption that earnings will be equivalent to free cash flow:
• Pay a total dividend of $20 million
• Invest $40 million in new projects
What is the maximum % reduction in operating activity that could occur next year before the company's dividend and investment plans are affected?
Give your answer to the nearest 0.1%.
When valuing an unlisted company, a P/E ratio for a similar listed company may be used but adjustments to the P/E ratio may be necessary.
Which THREE of the following factors would justify a reduction in the proxy p/e ratio before use?
A company is financed as follows:
• 400 million $1 shares quoted at $3.00 each.
• $800 million 5% bonds quoted at par.
The company plans to raise $200 million long term debt to finance a project with a net present value of $100 million.
The bank that is providing the debt is insisting on a maximum gearing level covenant.
Gearing will be based on market values and calculated as debt/(debt + equity).
What is the lowest figure for the gearing covenant that the bank could impose without the company breaching the agreement?
A company has recently announced a scrip issue of 1 new share for every 4 existing shares. The market value of each share price before the announcement was $20.00.
What is the best estimate of the share price after the scrip issue ignoring all other influences on the share price?
A company is financed by debt and equity and pays corporate income tax at 20%.
Its main objective is the maximisation of shareholder wealth.
It needs to raise $200 million to undertake a project with a positive NPV of $10 million.
The company is considering three options:
• A rights issue.
• A bond issue.
• A combination of both at the current debt to equity ratio.
Estimations of the market values of debt and equity both before and after the adoption of the project have been calculated, based upon Modigliani and Miller's capital theory with tax, and are shown below:

Under Modigliani and Miller's capital theory with tax, what is the increase in shareholder wealth?
Which THREE of the following non-financial objectives would be most appropriate for a listed company in the food retailing industry?
Select whether the following statements are true or false with regard to Modigliani and Miller's dividend policy theory.

A company is undertaking a lease-or-buy evaluation, using the post-tax cost of bank borrowing as the discount rate.
Details of the two alternatives are as follows:
Buy option:
• To be financed by a bank loan
• Tax depreciation allowances are available on a reducing-balance basis
• Assets depreciated on a straight-line basis
Lease option:
• Finance lease
• Maintenance to be paid by the lessee
• Tax relief available on interest payments and book depreciation
Which THREE of the following are relevant cashflows in the lease-or-buy appraisal?
Company A is a listed company that produces pottery goods which it sells throughout Europe. The pottery is then delivered to a network of self employed artists who are contracted to paint the pottery in their own homes. Finished goods are distributed by network of sales agents.The directors of Company A are now considering acquiring one or more smaller companies by means of vertical integration to improve profit margins.
Advise the Board of Company A which of the following acquisitions is most likely to achieve the stated aim of vertical integration?
A company intends to sell one of its business units, Company R by a management buyout (MBO).
A selling price of $100 million has been agreed.
The managers are discussing with a bank and a venture capital company (VCC) the following financing proposal:

The VCC requires a minimum return on its equity investment in the MBO of 30% a year on a compound basis over 5 years.
What is the minimum TOTAL equity value of Company R in 5 years time in order to meet the VCC's required return?
Give your answer to one decimal place.
$ ? million
Which THREE of the following statements are disadvantages of the net asset basis of valuation?
A company's current earnings before interest and taxation are $5 million.
These are expected to remain constant for the forseeable future.
The company has 10 million shares in issue which currently trade at $3.60.
It also has a $10 million long term floating rate loan.
The current interest rate on this loan is 5%.
The company pays tax at 20%.
The company expects interest rates to increase next year to 6% and it's Price/Earnings (P/E) ratio to move to 9.5 times by the end of next year.
What percentage reduction in the share price will occur by the end of next year if the interest rate increase and the P/E movement both occur?
A company is currently all-equity financed.
The directors are planning to raise long term debt to finance a new project.
The debt:equity ratio after the bond issue would be 30:60 based on estimated market values.
According to Modigliani and Miller's Theory of Capital Structure without tax, the company's cost of equity would:
The International Integrated Reporting Council (IIRC) was formed in August 2010 and brings together a cross-section of representatives from a wide variety of business sectors.
The primary purpose of the IIRC's framework is to help enable an organsation to communicate how it:
Company ABD and Company BCD operate in the same industry and each has a significant market share.
The directors of Company ABD have heard rumours in the market that Company BCD is planning to bid to takeover Company ABD. They do not believe the takeover would be in the best interests of the shareholders and are therefore keen to prevent the bid from going ahead.
Which THREE of the following defense strategies could be used by the directors of Company ABD at this point in time?
A company with a market capitalisation of S50million is considering raising $1 million debt to fund a new 10-year capital investment protect
The value of this issue is considered to be small in comparison to the company's market capitalisation
The company is considering whether to raise the debt finance by either a "bond private placing' or a 'public bond issue.
Which THREE of the following statements are correct?
Companies A, B, C and D:
• are based in a country that uses the K$ as its currency.
• have an objective to grow operating profit year on year.
• have the same total levels of revenue and cost.
• trade with companies or individuals in the eurozone. All import and export trade with companies or individuals in the eurozone is priced in EUR.
Typical import/export trade for each company in a year are as follows:

Which company's growth objective is most sensitive to a movement in the EUR/K$ exchange rate?
Company C invests heavily in Research and Development an need to raise $45 million to finance future projects. It has decided to use equity finance raised by a tender offer, The following tender offers have been received from potential investors:

Company C wishes to select an offer price that will project shareholders from a significant dilution of control but still raise the required amount of finance.
What offer price should Company C’s select?
Company Z has identified four potential acquisition targets: companies A, B, C and D.
Company Z has a current equity market value of $590 million.
The price it would have to pay for the equity of each company is as follows:

Only one of the target companies can be acquired and the consideration will be paid in cash.
The following estimations of the new combined value of Company Z have been prepared for each acquisition before deduction of the cash consideration:

Ignoring any premium paid on acquisition, which acquisition should the directors pursue?
A company is considering taking out $10.000,000 of floating rate bank borrowings to finance a new project. The current rate available to the company on floating rate barrowings is 8%. The borrowings contain a covenant based on an interested cover of5times.
The project is expected to generate the following results:

At what interest rate on the floating rate borrowings is the bank covenant first breached?
Company A is a large well-established listed entertainment company and Company B is a small unlisted company specializing in providing online media streaming.
Company A has a gearing ratio of 60% (using book values) and interest cover of 2.
Company A is considering making an offer for Company B, either a cash offer financial by raising additional debt finance or a share-for-share exchange.
Which of the following is most likely to occur if Company A offers a share-for exchange rather than offering cash finance by raising debt?
A company is planning a share repurchase programme with the following details:
• Repurchased shares will be immediately cancelled.
• The shares will be purchased at a premium to the market share price.
The current market share price is greater than the nominal value of the shares.
Which of the following statements about the impact of the share repurchase programme on the company's financial statements is correct?
G pic wishes to borrow $5 million in 6 months, for a period of 3 months. A bank has quoted the following Forward Rate Agreement (FRA) rales:
3 v 9 6.55%-6.70% 6v9 6.70%-6 90%.
G pic can borrow at 0 75% above base rate, and the base rate is currently 6.25% Concerned that base rates may rise, G pic decides that it will hedge using an FRA
At the settlement date for the FRA, the base rate has risen to 7.50%
What is the effective interest rate paid by G pic for its borrowing?
The Treasurer of Z intends to use interest rate options to set an interest rate cap on Z’s borrowings.
Which of the following statement is correct?
A company is reporting under IFRS 7 Financial Instruments: Disclosures for the first time and the directors are concerned about whether this will lead to the disclosure of information that could affect the company's share price.
The company is based in a country that uses the A$ but 40% of revenue relates to export sales to the USA and priced in US$.
When the company reports under IFRS 7 for the first time, the share price is most likely to:
PYP is a listed courier company. It is looking to raise new finance to fit each of its delivery vans with new equipment to allow improved parcel tracking for customers The senior management team of PYP have decided on a 10-year secured bond to finance this investment-
Which TWO of the following variables are most likely to decrease the yield to maturity of the bond?
A government is currently considering the privatisation of the national airline. The shares are to be offered to the public via a fixed price Initial Public Offering (IPO).
Which THREE of the following statements are correct?
The long-term prospects for inflation in the UK and the USA are 1% and 4% per annum respectively.
The GBP/USD spot rate is currently GBP/USD1.40
Using purchasing power parity theory, what GBP/USD spot rate would you expect to see in six months’ time?
A listed company is planning a share repurchase.
The following data applies:
• There are 10 million shares in issue
• The share repurchase will involve buying back 20% of the shares at a price of $0.75
• The company is holding $2 million cash
• Earnings for the current year ended are $2 million
The Directors are concerned about the impact that this repurchase programme will have on the company's cash balance and current year earnings per share (EPS) ratio.
Advise the directors which of the following statements is correct?
A major energy company, GDE, generates and distributes electricity in country A. The government of country A is concerned about rising inflation and has imposed price controls on GDE, limiting the price it can charge per unit of electricity sold to both domestic and commercial customers. It is likely that price controls will continue for the foreseeable future.
The introduction of price controls is likely to reduce the profit for the current year from $3 billion to $1 billion.
The company has:
• Distributable reserves of $2 billion.
• Surplus cash at the start of the year of $1 billion.
• Plans to pay a total dividend of $1.5 billion in respect of the current year, representing a small annual increase as in previous years. However, no dividends have yet been announced.
Which THREE of the following responses would be MOST appropriate for GDE following the imposition of price controls?
A company has a covenant on its 5% long-term bond, stipulating that its retained earnings must not fall below $2 million.
The company has 100 million shares in issue.
Its most recent dividend was $0.045 per share. It has committed to grow the dividend per share by 4% each year.
The nominal value of the bond is $60 million. It is currently trading at 80% of its nominal value.
Next year's earnings before interest and taxation are projected to be $11.25 million.
The rate of corporate tax is 20%.
If the company increases the dividend by 4%, advise the Board of Directors if the level of retained earnings will comply with the covenant?
Which of the following statements about companies seeking a stock market listing is correct?
An unlisted company:
Which of the following methods would be the most appropriate to value this company’s equity?
A company gas a large cash balance but its directors have been unable to identify any positive NPV projects to invest in. Which THREE of the following are advantages of a share repurchase, compared with a one-off large dividend?
A company wishes to raise additional debt finance and is assessing the impact this will have on key ratios.
The following data currently applies:
• Profit before interest and tax for the current year is $500,000
• Long term debt of $300,000 at a fixed interest rate of 5%
• 250,000 shares in issue with a share price of $8
The company plans to borrow an additional $200,000 on the first day of the year to invest in new project which will improve annual profit before interest and tax by $24,000.
The additional debt would carry an interest rate of 3%.
Assume the number of shares in issue remain constant but the share price will increase to $8.50 after the investment.
The rate of corporate income tax is 30%.
After the investment, which of the following statements is correct?
A company is planning a new share issue.
The funds raised will be used to repay debt on which it is currently paying a high interest rate.
Operating profit and dividends are expected to remain unchanged in the near future.
If the share issue is implemented, which THREE of the following are most likely to increase?
VVV has a floating rate loan that it wishes to replace with a fixed rate. The cost of the existing loan is the risk-free rate + 3%. VW would have to pay a fixed rate of 7% on a fixed rate loan VVVs bank has found a potential counterparty for a swap arrangement.
The counterparty wishes to raise a variable rate loan It would pay the risk-free rate +1 % on a variable rate loan and 8% on a fixed rate.
The bank will require 10% of the savings from the swap and WV and the counterparty will share the remaining saving equally.
Calculate VWs effective rate of interest from this swap arrangement.
A company is currently all-equity financed with a cost of equity of 8%.
It plans to raise debt with a pre-tax cost of 4% in order to buy back equity shares.
After the buy-back, the debt-to-equity ratio at market values will be 1 to 2.
The corporate income tax rate is 30%.
Which of the following represents the company's cost of equity after the buy-back according to Modigliani and Miller's Theory of Capital Structure with taxes?
A profit-seeking company intends to acquire another company for a variety of reasons, primarily to enhance shareholder wealth.
Which THREE of the following offer the greatest potential for enhancing shareholder wealth?
Company A, a listed company, plans to acquire Company T, which is also listed.
Additional information is:
• Company A has 150 million shares in issue, with market price currently at $7.00 per share.
• Company T has 120 million shares in issue,. with market price currently at $6.00 each share.
• Synergies valued at $50 million are expected to arise from the acquisition.
• The terms of the offer will be 2 shares in A for 3 shares in T.
Assuming the offer is accepted and the synergies are realised, what should the post-acquisition price of each of Company A's shares be?
Give your answer to two decimal places.

A company is considering either exporting its product directly to customers in a foreign country or establishing a manufacturing subsidiary in that country.
The corporate tax rate in the company's own country is 20% and 25% tax depreciation allowances are available.
Which THREE of the following would be considered advantages of establishing the subsidiary in the foreign country?
Company A is subject to a takeover bid from Company B, both companies operate in the same industry and each of them demand a significant market share Company B h3S made an of an of $5 per share to the shareholders of Company A.
The directors of Company A do not believe the takeover would be in the best interests of the stakeholders and other stakeholders of Company A due to the following reruns
1. Company B has recently taken ever several ether companies resulting in them breaking up the company and se ling on the assets.
2 The directors of Company A believe the offer of $5 per snare undervalues tie company
The directors of Company A are therefore keen to prevent the bid from going ahead
Which THREE of the following defence strategies could be used by the directors of Company Air this situation?
A company wishes to raise additional debt finance and is assessing the impact this will have on key ratios.
The following data currently applies:
• Profit before interest and tax for the current year is $500,000
• Long term debt of $300,000 at a fixed interest rate of 5%
• 250,000 shares in issue with a share price of $8
The company plans to borrow an additional $200,000 on the first day of the year to invest in new project which will improve annual profit before interest and tax by $24,000.
The additional debt would carry an interest rate of 3%.
Assume the number of shares in issue remain constant but the share price will increase to $8.50 after the investment.
The rate of corporate income tax is 30%.
After the investment, which of the following statements is correct?
B, a European based modern art dealer, frequently imports and sells single high value items created in the United States. The price is fixed at the date of sale but the items are commissioned and made to order with a lead time of three to nine months depending on the individual specification
B holds payment for his customers from the point of purchase and passes funds when the items are shipped However, despite putting the money on short term deposit, there have been times when B's profits have been almost entirely eroded by adverse movements m interest rates Advise B by matching the appropriate instrument to B's requirements.

A company is based in Country Y whose functional currency is YS. It has an investment in Country Z whose functional currency is ZS This year the company expects to generate ZS20 million profit after tax.
Tax Regime
• Corporate income tax rate in Country Y is 60%
• Corporate income tax rate in Country Z Is 30%
• Full double tax relief is available
Assume an exchange rate of YS1 = ZS5
What is the expected profit after tax in YS if the ZS profit is remitted to Country Y?
Company A is planning to acquire Company B by means of a cash offer. The directors of Company B are prepared to recommend acceptance if a bid price can be agreed. Estimates of the net present value (NPV) of future cash flows for the two companies and the combined group post acquisition have been prepared by Company A’s accountant. There are as follows:

What is the maximum price that Company A should offer for the shares in Company B?
Give your answer to the nearest $ million

The Board of Directors of a small listed company engaged in exploration are currently considering the future dividend policy of the company. Exploration is considered a high-risk business and consequently the company has a low level of debt finance.
Forecasts indicate a period of profit fluctuation in the next few years as the company is planning to embark on a major capital investment project. Debt finance is unlikely to be available due to the project's high business risk.
Which THREE of the following are practical considerations when determining the company's dividend/retention policy?
Using the CAPM, the expected return for a company is 11%. The market return is 8% and the risk free rate is 2%.
What does the beta factor used in this calculation indicate about the risk of the company?
TTT pic is a listed company. The following information is relevant:

TTT pic's board is considering issuing new 6% irredeemable debt to re-purchase equity. This is expected to change TTT pic's debt to equity mix to 40: 60 by market value. The corporate tax rate is 20%.
What will be TTT pic's WACC following this change in capital structure?
Company Y plans to diversify into an activity where Company X has an equity beta of 1.6, a debt beta of zero and gearing of 50% (debt/debt plus equity).
The risk-free rate of return is 5% and the market portfolio is expected to return 10%.
The rate of corporate income tax is 30%.
What would be the risk-adjusted cost of equity if Company Y has 60% equity and 40% debt?
Company ABC's management has noticed that Company BCD has quickly built up a 20% stake by buying shares in Company ABC and are concerned that this is the start of a hostile bid.
This build-up of shares triggers the poison pill provision which automatically converts the rights to buy future preference shares previously issued to existing shareholders in Company ABC to full ordinary shares
What is the most likely impact of the triggering of a poison pill strategy at this stage in the bidding process?
Company MB is in negotiations to acquire the entire share capital of Company BBA. Information about each company is as follows:

It is expected that Company BBA's profit before interest and tax will be $30 million in each of the two years after acquisition. Company AAB is considering how best to structure the offer Company AAB's discount factor and appropriate cost of equity for use in valuing Company BBA is 10%
Shareholders taxation implications should be ignored
Which of the following provides the shareholders of Company BBA with the highest offer price?
A listed company plans to raise $350 million to finance a major expansion programme.
The cash flow projections for the programme are subject to considerable variability.
Brief details of the programme have been public knowledge for a few weeks.
The directors are considering two financing options, either a rights issue at a 20% discount to current share price or a long term bond.
The following data is relevant:

The company's share price has fallen by 5% over the past 3 months compared with a fall in the market of 3% over the same period.
The directors favour the bond option.
However, the Chief Accountant has provided arguments for a rights issue.
Which TWO of the following arguments in favour of a right issue are correct?
STU has relatively few tangible assets and is dependent for profits and growth on the high-value individuals it employs. Which of the following statements best explains why the net asset valuator method’s considered unstable for TU?
The Board of Directors of a listed company wish to estimate a reasonable valuation of the entire share capital of the company in the event of a takeover bid.
The company's current profit before taxation is $10 0 million.
The rate of corporate tax is 20%.
The average P/E multiple of listed companies in the same industry is 10 times current earnings.
The P/E multiple of recent takeovers in the same industry have ranged from 11 times to 12 times current earnings.
The average P/E multiple of the top 100 companies on the stock market is 16 times current earnings.
Advise the Board of Directors which of the following is a reasonable estimate of a range of values of the entire share capital in the event of a bid being made for the whole company?
A company is deciding whether to offer a scrip dividend or a cash dividend to its shareholders.
Although the company has excellent long-term growth prospects, it is experiencing short-term profit and cash flow problems.
Which of the following statements is most likely to be a reason for choosing the scrip dividend?
A listed company with a growing share price plans to finance a four-year research project with debt.
The main criterion for the finance is to minimise the annual cashflow payments on the debt.
The research will be sold at the end of the project.
Which of the following would be the most suitable financing method for the company?
A venture capitalist invests in a company by means of buying
* 6 million shares for $3 a share and
• 7% bonds with a nominal value of $2 million, repayable at par in 3 years' time
The venture capitalist expects a return on the equity portion of the investment of at least 20% a year on a compound basis over the first 3 years of the investment
The company has 8 million shares in issue
What is the minimum total equity value for the company in 3 years' time required to satisfy the venture capitalist's expected return?
Give your answer to the nearest $ million

The competition authorities are investigating the takeover of Company Z by a larger company, Company Y.
Both companies are food retailers.
The takeover terms involve using a part cash, part share exchange means of payment.
Company Z is resisting the bid, arguing that it undervalues its business, while lobbying extensively among politicians to sway public opinion against the bidder.
Which of the following actions by Company Y is most likely to persuade the competition authorities to approve the acquisition?
The directors of the following four entities have been discussing dividend policy:

Which of these four entities is most likely to have a residual dividend policy?
Company A plans to acquire Company B.
Both firms operate as wholesalers in the fashion industry, supplying a wide range of ladies' clothing shops.
Company A sources mainly from the UK, Company B imports most of its supplies from low-income overseas countries.
Significant synergies are expected in management costs and warehousing, and in economies of bulk purchasing.
Which of the following is likely to be the single most important issue facing Company A in post-merger integration?
A company has:
• $7 million market value of equity
• $5 million market value of debt
• WACC of 9.375%
• Corporate income tax rate of 15%
According to Modigliani and Miller's theory of capital structure with tax, what is the ungeared cost of equity?
A company's Board of Directors is assessing the likely impact of financing future new projects using either equity or debt.
The directors are uncertain of the effects on key variables.
Which THREE of the following statements are true?
A company is financed as follows:
• 400 million $1 shares quoted at $3.00 each.
• $800 million 5% bonds quoted at par.
The company plans to raise $200 million long term debt to finance a project with a net present value of $100 million.
The bank that is providing the debt is insisting on a maximum gearing level covenant.
Gearing will be based on market values and calculated as debt/(debt + equity).
What is the lowest figure for the gearing covenant that the bank could impose without the company breaching the agreement?
Company F's current profit before interest and taxation is $5.0 million.
It has a 10% long-term corporate bond in issue with a nominal value of $10 million.
Corporate tax is paid at 25%.
The industry average P/E multiple is 10.
Company X has made an approach to acquire the entire share capital of Company F for $30 million.
Company X has announced that anticipated synergies (after interest and taxation) arising from its acquisition of Company F will be $1 million each year in perpetuity.
Advise the Board of Directors of Company F if the bid should be accepted, based on the above information?
Company A is located in Country A, where the currency is the A$.
It is listed on the local stock market which was set up 10 years ago.
It plans a takeover of Company B, which is located in Country B where the currency is the B$, and where the stock market has been operating for over 100 years.
Company A is considering how to finance the acquisition, and how the shareholders of Company B might respond to a share exchange or cash (paid in B$).
Which of the following is likely to explain why the shareholders of Company B would prefer a share exchange as opposed to a cash offer?
A company has:
• $6 million market value of equity
• $4 million market value of debt
• WACC of 11.04%
• Corporate income tax rate of 20%
According to Modigliani and Miller's theory of capital structure with tax, what is the ungeared cost of equity?
NNN is a company financed by both equity and debt. The directors of NNN wish to calculate a valuation of the company's equity and at a recent board meeting discussed various methods of business valuation.
Which THREE of the following are appropriate methods for the directors of NNN to use in this instance?
Company GDD plans to acquire Company HGG, an unlisted company which has been in business for 3 years.
Company HGG has incurred losses in its first 3 years but is expected to become highly profitable in the near future
There are no listed companies in the country operating in the same business field as Company HGG The future success of Company HGG's business and hence the future growth rate in earnings and dividends is difficult to determine
Company GDD is assessing the validity of using the dividend growth method to value Company HGG
Which THREE of the following are weaknesses of using the dividend growth model to value an unlisted company such as Company HGG?
A listed company is considering either a one-off special divided or a share repurchase scheme to reduce its surplus cash level.
Identify TWO advantages that a one-off special payment has over a share repurchase scheme.
A listed company has recently announced a profit warning.
The company's share price fell 20% on the day of the announcement but had been fairly static in the weeks leading up to the announcement.
Which form of efficient market is most likely to be indicated by this share price movement?
H Company has a fixed rate load at 10.0%, but wishes to swap to variable. It can borrow at LIBOR 8%.
The bank is currently quoting swap rates of 3.1% (bid) and 3.5% (ask).
What net rate will HHH Company pay if it enters into the swap?
A company's main objective is to achieve an average growth in dividends of 10% a year.
In the most recent financial year:

Sales are expected to grow at 8% a year over the next 5 years.
Costs are expected to grow at 5% a year over the next 5 years.
What is the minimum dividend payout ratio in 5 years' time that would allow the company to achieve its objective?
A venture capitalist invests in a company by means of buying:
• 9 million shares for $2 a share and
• 8% bonds with a nominal value of $2 million, repayable at par in 3 years' time.
The venture capitalist expects a return on the equity portion of the investment of at least 20% a year on a compound basis over the first 3 years of the investment.
The company has 10 million shares in issue.
What is the minimum total equity value for the company in 3 years' time required to satisify the venture capitalist's expected return?
Give your answer to the nearest $ million.
$ million.
Two listed companies in the same industry are joining together through a merger.
What are the likely outcomes that will occur after the merger has happened?
Select ALL that apply.
The ex div share price of Company A’s shares is $.3.50
An investor in Company A currently holds 2,000 shares.
Company A plans to issue a script divided of 1 new shares for every 10 shares currently held.
After the scrip divided, what will be the total wealth of the shareholder?
Give your answer to the nearest whole $.

A company has 6 million shares in issue. Each share has a market value of $4.00.
$9 million is to be raised using a rights issue.
Two directors disagree on the discount to be offered when the new shares are issued.
• Director A proposes a discount of 25%
• Director B proposes a discount of 30%
Which THREE of the following statements are most likely to be correct?
A listed company is planning a share repurchase.
The following data applies
• There are 20 million shares in issue
• The share repurchase will involve buying back 10% of the shares at a price of $1.20
• The company is holding $4.8 million cash
• Earnings for the current year ended are $3.6 million
The Directors are concerned about the impact that this repurchase programme will have on the company's cash balance and current year earnings per share (EPS) ratio.
Advise the directors which of the following statements is correct?
Extracts from a company's profit forecast for the next financial year is as follows:

Since preparing the forecast, the company has decided to return surplus cash to shareholders by a share repurchase arrangement.
The share repurchase would result in the company purchasing 20% of the 2,000 million ordinary shares currently in issue and cancelling them.
Assuming the share repurchase went ahead, the impact on the company's forecast earnings per share will be an increase of:
A large multi-divisional company in the food processing and distribution business is conducting a strategic review. The divisions all compete in the same market.
The sale of one of its underperforming food processing divisions to the divisional management team is currently being considered. The purchase by the divisional management team will require venture capital finance.
Which THREE of the following are likely to influence the multi-divisional company's decision on whether or not to sell the under-performing division to the management team?
A company proposes to value itself based on the net present value of estimated future cash flows.
Relevant data:
• The cash flow for the next three years is expected to be £100 million each year
• The cash flow after year 3 will grow at 2% to perpetuity
• The cost of capital is 12%
The value of the company to the nearest $ million is:
A venture capitalist has made an equity investment in a private company and is evaluating possible methods by which it can exit the investment over the next 3 years. The private company shareholders comprise the four original founders and the venture capitalist.
Advise the venture capitalist which THREE of the following methods will enable it to exit its equity investment?
A national airline has made an offer to acquire a smaller airline in the same country.
Which of the following would be of most concern to the competition authorities?
HHH Company has a fixed rate loan at 10.0%, but wishes to swap to variable. It can borrow at the risk-free rate +8%. The bank is currently quoting swap rates of 3.1% (bid) and 3.5% (ask). What net rate will HHH Company pay if it enters into the swap?
A company is considering the issue of a convertible bond compared to a straight bond issue (non-convertible bond).
Director A is concerned that issuing a convertible bond will upset the shareholders for the following reasons:
• it will dilute their control
• the interest payments will be higher therefore reducing liquidity
• it will increase the gearing ratio therefore increasing financial risk
Director B disagrees, and is preparing a board paper to promote the issue of the convertible bond rather than a non-convertible.
Advise the Director B which THREE of the following statements should be included in his board paper to promote the issue of the convertible bond?
A company's dividend policy is to pay out 50% of its earnings.
Its most recent earnings per share was $0.50, and it has just paid a dividend per share of $0.25.
Currently, dividends are forecast to grow at 2% each year in perpetuity and the cost of equity is 10.5%.
In order to grow its earnings and dividends, the company is considering undertaking a new investment funded entirely by debt finance. If the investment is undertaken:
• Its cost of equity will immediately increase to 12% due to the increased finance risk.
• Its earnings and dividends will immediately commence growing at 4% each year in perpetuity.
Which of the following is the expected percentage change in the share price if the new investment is undertaken?
A company's directors plan to increase gearing to come in line with the industry average of 40%. They need to know what the effect will be on the company's WACC.
According to traditional theory of gearing the WACC is most likely to:

A listed company is financed by debt and equity.
If it increases the proportion of debt in its capital structure it would be in danger of breaching a debt covenant imposed by one of its lenders.
The following data is relevant:

The company now requires $800 million additional funding for a major expansion programme.
Which of the following is the most appropriate as a source of finance for this expansion programme?
Company M is a geared company whose equity has a market value of $1,500 million and debt has a market value of S300 million. The company plans to issue $200 million of new shares and use the funds raised to pay off some of the debt
Company M currently has a cost of equity of 13% and a WACC of 10% It pays corporate tax at the rate of 30% Company B, an ungeared company operating in the same business sector as Company M, has a cost of equity of 12%
Assume Modigliani and Miller's theory of capital structure with tax applies
Which calculation below shows the correct approach to calculating the new WACC following the planned changes in capital structure?
A

B

C

D

A company has two divisions.
A is the manufacturing division and supplies only to B, the retail division.
The Board of Directors has been approached by another company to acquire Division B as part of their retail expansion programme.
Division A will continue to supply to Division B as a retail customer as well as source and supply to other retail customers.
Which is the main risk faced by the company based on the above proposal?
A listed company follows a policy of paying a constant dividend. The following information is available:
• Issued share capital (nominal value $0.50) $60 million
• Current market capitalisation $480 million
The shareholders are requesting an increased dividend this year as earnings have been growing. However, the directors wish to retain as much cash as possible to fund new investments. They therefore plan to announce a 1-for-10 scrip dividend to replace the usual cash dividend.
Assuming no other influence on share price, what is the expected share price following the scrip dividend?
Give your answer to 2 decimal places.
$ ?
A company has:
• 10 million $1 ordinary shares in issue
• A current share price of $5.00 a share
• A WACC of 15%
The company holds $10 million in cash. No interest is earned on this cash.
It will invest this in a project with an expected NPV of $4 million.
In a semi-strong efficient stock market, which of the following is the most likely share price immediately after the announcement of the new investment?
A company has identified potential profitable investments that would require a total of S50 million capital expenditure over the next two years The following information is relevant.
• The company has 100 million shares in issue and has a market capitalisation of S500 million
• It has a target debt to equity ratio of 40% based on market values This ratio is currently 30%
• Earnings for the current year are expected to be S1 00 million
• Its last dividend payment was $1 per share One of the company's objectives is to increase dividends by at least 10% each year
• The company has no cash reserves
Which of the following is the most suitable method of financing to meet the company's requirements?
A company’s statement of financial position includes non-current assets which are leased, the tax regime follows the accounting treatment.
Which cash flows should be discounted when evaluating the cost of lease finance?
A company has a loss-making division that it has decided to divest in order to raise cash for other parts of the business.
The losses stem from a combination of a lack of capital investment and poor divisional management.
The loss-making division would require new capital investment of at least $20 million in order to replace worn out and obsolete assets.
If this investment was carried out, the present value of the future cashflows, excluding the investment expenditure, is expected to be $15 million.
Which TWO of the following divestment methods are most likely to be suitable for the company?
A company has:
• A price/earnings (P/E) ratio of 10.
• Earnings of $10 million.
• A market equity value of $100 million.
The directors forecast that the company's P/E ratio will fall to 8 and earnings fall to $9 million.
Which of the following calculations gives the best estimate of new company equity value in $ million following such a change?
A)

B)

C)

D)

A listed company in a high technology industry has decided to value its intellectual capital using the Calculated Intangible Value method (CIV).
Relevant data for the company:
• Pays corporate income tax at 30%
• Cost of equity is 9%, pre-tax cost of debt is 7% and the WACC is 8%
• The value spread has been calculated as $26 million
Calculate the CIV for the company.
The primary objective of a public sector entity is to ensure value for money is generated.
Value for money is defined as performing an activity so as to simultaneously achieve economy, efficiency and effectiveness
Efficiency is defined as:
Company A operates in country A and uses currency AS. It is looking to acquire Company B which operates in country B and uses currency B$. The following information is relevant:

The assistant accountant at Company A has prepared the following valuation of company B's equity, however there are some errors in his calculations.

Value of Company B's equity = 14.16 + 16.03 + 17.67 = AS47.86 million
Company B has BS5 million of debt finance.
Which of the following THREE statements are true?
The following information relates to Company ZZA's current capital structure:

Company ZZA is considering a change in the capital structure that will increase gearing to 35:65 (Debt Equity).
The risk-free rate is 4% and the return on the market portfolio is expected to be 12%.
The rate of corporate tax is 25%
Using the Capital Asset Pricing Model, calculate the cost of equity resulting from the proposed change to the capital structure.
Company Z has just completed the all-cash acquisition of Company A.
Both companies operate in the advertising industry.
The market considered the acquisition a positive strategic move by Company Z.
Which THREE of the following will the shareholders of Company Z expect the company's directors to prioritise following the acquisition?
Which THREE of the following are likely to be strategic reasons for a horizontal acquisition?
Company A has agreed to buy all the share capital of Company B.
The Board of Directors of Company A believes that the post-acquisition value of the expanded business can be computed using the "boot-strapping" concept.
Which of the following most accurately describes "boot-strapping" in this context?
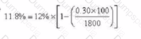
Company AAB is located in country A whose currency is the AS It has a subsidiary, BBA, located m country B that has the BS as its currency AAB has asked BBA to pay BS40 million surplus funds to AAB to assist with a planned new capital investment in country A The exchange rate today is AS1 = BS3
Tax regimes
• Company BBA pays withholding tax of 25% on all cash remitted to the parent company
• Company AAB pays tax of 10% on at cash received from its subsidiary
How much will company AAB have available for investment after receiving the surplus funds from BBA?
Company A is based in Country A where the functional currency is the A$. Currently all sales are to domestic customers in Country A. However, the company is planning to expand internationally by acquiring Company B, a distribution company in Country B, to enable it to sell goods worldwide The functional currency of Country B is the BS
Company A will invoice its international customers in their local currency.
Wage increases in Country B are forecast to be modest, due to high unemployment levels, but overall inflation in Country B is forecast to be significantly higher than in Country A
Which TWO of the following statements about the economic risk of the acquisition of Company B are true?
A company is located in a single country. The company manufactures electrical goods for export and for sale in its home country. When exporting, it invoices in its customers' currency. What currency risks is the company exposed to?
Company J plans to acquire Company K, an unlisted company whose equity is to be valued using a P/E ratio approach.
A listed company has been identified which is very similar to Company K and which can be used as a proxy.
However, the growth prospects of Company K are higher than those of the proxy.
The Directors of Company J are aware that certain adjustments will be necessary to the proxy company's P/E ratio in order to obtain a more reliable valuation.
The following adjustments have been agreed:
• 20% due to Company K being unlisted.
• 15% to allow for the growth rate difference.
The total adjustment to the proxy p/e ratio is:
A company has a covenant on its 5% long term corporate bond.
• Covenant - The earnings must not fall below $7 million
The bond has a nominal value of $60 million.
It is currently trading at 80% of its nominal value.
The projected earnings before interest and taxation for next year are $11.5 million.
The company retains 80% of its earnings. It pays tax at 20%.
Advise the Board of Directors which of the following covenant conditions will apply next year?
A company plans a four-year project which will be financed by either an operating lease or a bank loan.
Lease details:
• Four year lease contract.
• Annual lease rentals of $45,000, paid in advance on the 1st day of the year.
Other information:
• The interest rate payable on the bank borrowing is 10%.
• The capital cost of the project is $200,000 which would have to be paid at the beginning of the first year.
• A salvage or residual value of $100,000 is estimated at the end of the project's life.
• Purchased assets attract straight line tax depreciation allowances.
• Corporate income tax is 20% and is payable at the end of the year following the year to which it relates.
A lease-or-buy appraisal is shown below:

Which THREE of the following items are errors within the appraisal?
A manufacturing company based in Country R. where the currency is the R$, has an objective of maintaining an operating profit margin of at least 10% each year
Relevant data:
• The company makes sales to Country S whose currency is the SS It also makes sales to Country T whose currency is the T$ " All purchases are from Country U whose currency is the US.
• The settlement of an transactions is in the currency of the customer or supplier
Which of the following changes would be most likely to help the company achieve its objective?
B has a S3 million loan outstanding on which the interested rate is reset every 6 months for the following 6 month and the interested is payable at the end of that 6 month period. The next 6 monthly reset period starts in 3 months and the treasurer of B thinks interested rates are likely to raise between and then.
Current 6-month rates are 6.4% and the treasurer can get a rate of 6.9% for a 6-month forward rate agreement (FRA) starting in 3 months time. By transacting an TRA the treasurer can lock in a rate today of 6.9%.
If interested rates are 7.5% in 3 months’ time, what will the net amount payable be?
Give your answer to the nearest thousand dollars.

A manufacturing company is based in Country L whose currency is the L$.
One of the company's products is exported to Country M, a rapidly growing economy, whose currency is the M$.
In the most recent financial year:
• 100,000 units of the product were sold to customers in country M
• The unit selling price was M$12
The spot rate today is L$1 = M$5
The company has an objective of growth in total sales value in L$ of 10% a year.
If the L$ strengthens by 5% next year against the M$, what volume of sales of this product is needed next year to achieve the objective?
Listed company R is in the process of making a cash offer for the equity of unlisted company S.
Company R has a market capitalisation of $200 million and a price/earnings ratio of 10.
Company S has a market capitalisation of $50 million and earnings of $7 million.
Company R intends to offer $60 million and expects to be able to realise synergistic benefits of $20 million by combining the two businesses. This estimate excludes the estimated $8 million cost of integrating the two businesses.
Which of the following figures need to be used when calculating the value of the combined entity in $ millions?
Company A is planning to acquire Company B at a price of $ 65 million by means of a cash bid.
Company A is confident that the merged entity can achieve the same price earnings ratio as that of Company A.

What does Company A expect the value of the merged entity to be post acquisition?
A company s about to announce a new project that has a positive NPV.
If the market is semi-strong form efficient, which of the following statements is most Likely to be true?
The value of the company will.