Pre-Summer Sale - Limited Time 65% Discount Offer - Ends in 0d 00h 00m 00s - Coupon code: 65percent

Welcome To DumpsPedia

L4M7 Sample Questions Answers

Questions 4

ATT is a small retailer that specializes in selling 'seasonal goods' which change throughout the year. Some products need regular reordering and some only require a start-of-season single order. Sales volumes are unpredictable and variable. Ordering is from multiple suppliers with variable lead times (between two weeks and two months). ATT has no computerized stock management system but can monitor product sales through the barcode-equipped point-of-sale (POS) system.

Which of the following would be appropriate to support ATT for its stock monitoring and reorder requirements?

Options:

A.

Introduce a continuous stocktaking process to check all stock once per month against sales records for each product

B.

Undertake an MRP system with a dependent demand database to allow for variances in delivery and availability

C.

Undertake variable periodic reviews of products by classifying each product by lead times and sales volume

D.

Introduce a just-in-time system using sales information with visual checks of stock to create orders

Buy Now
Questions 5

The ABC approach involves classifying inventory items by unit cost, with expensive items classi-fied as ‘A' items and low cost items classified as ‘C' items. Is this statement true?

Options:

A.

Yes, 'A' items represent approximately 20% of total unit prices

B.

Yes, 'C' items with the lowest unit prices are the tail spends

C.

No, ABC analysis considers the usage of each inventory item

D.

No, ABC analysis considers the supply risks associated with an inventory item

Buy Now
Questions 6

Company XYZ is a candy manufacturer. Company XYZ makes a batch of 1,000 Christmas candy canes that are no longer edible after December 31. Company XYZ is able to sell 750 canes of the batch, but the other 250 are sitting in the warehouse. December 31 comes, and these candy canes is no longer sell-able. The batch of 250 candy canes belongs to which type of inventory?

Options:

A.

Obsolete inventory

B.

Buffer stock

C.

Redundant inventory

D.

Stockout

Buy Now
Questions 7

What cost factors should be considered for the maintenance and repair of manufacturing equipment?

    Direct labor cost

    Cost of utilities during the use of the equipment

    Cost of the goods being sold

    Guarantee and warranty cost

Options:

A.

2 and 3 only

B.

1 and 4 only

C.

3 and 4 only

D.

1 and 2 only

Buy Now
Questions 8

Which of the following code systems is commonly used by governments as a basis for their Cus-toms tariffs and for the collection of international trade statistics?

Options:

A.

The International Mobile Equipment Identity

B.

The Harmonized Commodity Description and Coding System

C.

Global Trade Item Number

D.

Global Location Number

Buy Now
Questions 9

Which of the following are holding costs of inventory in a warehouse?

    Costs related to the value of the inventory held

    Losses due to product deterioration

    Preliminary costs associated with purchase orders

    Loss of supplier discounts due to reduction in reorder quantities

Options:

A.

2 and 4 only

B.

2 and 3 only

C.

1 and 3 only

D.

1 and 2 only

Buy Now
Questions 10

A logistics company has a 2-story warehouse in the suburban area. The goods receiving area and dispatch area are located on the ground floor only. There is a lift connecting the two floors. The daily operations of the warehouse are quite busy. Which of the following would the best arrangement for this warehouse?

Options:

A.

Small items in tote boxes will be stored on the ground floor with forklifts and other equipment, high-usage palletised items will be stored on the first floor

B.

Medium- to low-usage palletised items will be stored on the ground floor, high-usage items will be stored on the first floor where the building administrative office is located

C.

Forklifts and other warehouse equipment will park on the ground floor, all inventories will be stored on the first floor

D.

Pallets, roller cages and other bulky items will be stored on the ground floor, smaller items in plastic tote boxes will be stored on the first floor

Buy Now
Questions 11

One of the important outputs of an MRP system is the material requirement plan. This plan shows the net requirements for materials or components to make the final product. Which of the following best describes the net material requirements?

Options:

A.

Gross requirements + on-order - Inventory on-hand

B.

On order + Inventory on-hand

C.

Total requirements - order releases + amount on-hand

D.

Gross requirements - Inventory level - Scheduled receipt

Buy Now
Questions 12

Which of the following is an acquisition cost under the concept of the total cost of ownership?

Options:

A.

Installation and commissioning cost

B.

Consumables and energy cost

C.

Servicing and repair cost

D.

Down time and overhaul cost

Buy Now
Questions 13

Which of the following statements holds true about inventory holding costs?

Options:

A.

They decline as the cost of the inventory item rises

B.

They always exceed total ordering costs

C.

They depend upon the opportunity cost of tying up funds and the average value of the stock holding

D.

They are independent of the average stock level

Buy Now
Questions 14

Which of the following costs can be classified as 'acquisition costs'?

    Invitation to tender and order processing costs

    Invoice processing and supplier selection costs

    Goods inspection and total ownership cost

    Total input costs and invoice processing cost

Options:

A.

1 and 2 only

B.

2 and 5 only

C.

1 and 4 only

D.

2 and 4 only

Buy Now
Questions 15

A procurement manager is considering leasing premises rather than purchasing them. If the company decides to lease premises, which of the following are

correct?

1. The lessee has possession and use of the asset

2. The asset is subject to a hire purchase agreement

3. The lessor retains ownership of the asset

4. At the end of the lease. ownership automatically transfers to the lessee

Options:

A.

1 and 2 only

B.

2 and 3 only

C.

3 and 4 only

D.

1 and 3 only

Buy Now
Questions 16

Manufacturing resources planning (MRP II) was developed from material requirement planning (MRP). Which of the following is the additional input that is available in MRP II but does not ap-pear in MRP?

Options:

A.

Finance

B.

Bill of materials

C.

Master production schedule

D.

Inventory records

Buy Now
Questions 17

A food processing manufacturer must be able to trace the ingredients they use and the food manufactured from those ingredients. Which of the following systems provides the opportunity for efficient traceability?

Options:

A.

Commodity coded ingredients and barcoded finished products

B.

Order numbering for each ingredient, customer purchase order for finished products

C.

Batch code for each ingredient and electronic product codes for finished products

D.

Alphanumeric product code for each ingredient and product code for finished products

Buy Now
Questions 18

Which of the following can replace pallets as bases for unit loads but they require push pull acces-sories to retrieve or discharge unit load?

Options:

A.

Shrink wraps

B.

Post pallets

C.

Skids

D.

Slip sheets

Buy Now
Questions 19

When using ABC analysis to classify inventory, which factors must be considered?

1. Demand uncertainty of each item

2. Cumulative percentage of items

3. Cumulative percentage usage value of items

4. Overall inventory turnover

Options:

A.

2 and 4 only

B.

1 and 4 only

C.

2 and 3 only

D.

1 and 3 only

Buy Now
Questions 20

A supplier delivers large quantities of inventory to its customer's store, but only charges for the goods as and when they are used. This can be described as...?

Options:

A.

Consignment stock

B.

Components inventory

C.

Multi-stage inventory

D.

Multi-echelon stock

Buy Now
Questions 21

In inventory management, the cost of insurance and taxes are included in which group?

Options:

A.

Costs of shortage

B.

Inventory carrying cost

C.

Set up costs

D.

Acquisition costs

Buy Now
Questions 22

Which of the following are warehouse layouts that allow the cross aisle to meet picking aisle at angles different from 90 degrees?

1. 'Fan' shaped layout

2. Herringbone-shaped layout

3. U-shape layout

4. L-shape layout

Options:

A.

1 and 2 only

B.

3 and 4 only

C.

1 and 3 only

D.

2 and 3 only

Buy Now
Questions 23

Which of the following would be an impact of low stock in the supply chain?

    Warehouse space would all be full with excess stock

    There may be delays and higher costs to fulfill supply

    Stock may not be available at times of high demand

    Lead times would reduce and purchase costs would fall

Options:

A.

2 and 3 only

B.

1 and 3 only

C.

2 and 4 only

D.

1 and 4 only

Buy Now
Questions 24

Why do you need a life cycle asset management plan?

Options:

A.

It is the basis of calculating the financial depreciation of the asset

B.

It is used to calculate the manpower required to operate the asset

C.

It is used to determine what the overall costs of disposing of the asset will be

D.

It is a basis for planning resources and budgets to support the asset

Buy Now
Questions 25

The selection of the correct type of material handling equipment is important. If the width of the gangway between the racking in a warehouse is 2.4 meters (8 feet), what type of material handling equipment would be suitable?

Options:

A.

Counterbalance forklift truck

B.

Narrow aisle forklift truck

C.

Hand pallet truck

D.

Reach truck

Buy Now
Questions 26

The development and implementation of whole-life asset management may be reserved for significant purchases, most typically determined by which of the

following features?

1. Long-lasting

2. High spend

3. Quality checks

4. Product scarcity

Options:

A.

1 and 2

B.

2 and 5

C.

3 and A

D.

1 and 4

Buy Now
Questions 27

A warehouse manager is evaluating the use of Automated Guided Vehicles (AGVs) within a repetitive task environment. After reviewing their use and price, the manager decided to invest in several AGVs. Were they correct in doing this?

Options:

A.

Yes, as it will reduce the costs of employing labour

B.

No, as it reduces the flexibility of the warehouse operations

C.

Yes, organisations must use high-tech solutions where possible

D.

No, as they are only suitable for use in non-repetitive task environments

Buy Now
Questions 28

Which of the following is the core idea of Lean manufacturing?

Options:

A.

New product development

B.

Waste elimination

C.

Improving response to erratic demand

D.

Business Continuity Planning

Buy Now
Questions 29

XYZ Ltd is a highly profitable leading industrial distributor with over 60,000 products and an enviable record for customer service. After undertaking preliminary discussions it was decided to analyse the value-adding activities that contribute to XYZ's flagship products. The company is conducting which of the following activities?

Options:

A.

Postponement

B.

Value stream mapping

C.

Silo-working

D.

Kanban

Buy Now
Questions 30

In addition to the cost of interest on capital tied up in inventory, and losses through deterioration and obsolescence, there are other holding costs. Which of the following are holding costs? Select TWO that apply.

Options:

A.

Production costs

B.

Cost of idle time

C.

Storage costs

D.

Selling costs

E.

Administrative costs

Buy Now
Questions 31

A procurement manager has agreed a contract for the acquisition of a piece of capital equipment and has negotiated a staged payment contract of 30% with order, 30% on delivery, and the remaining 40% on acceptance testing. Was this the right thing to do?

Options:

A.

No, as it commits the organization to purchasing the equipment and the supplier to deliver it

B.

Yes, as the payments can be linked directly to a specific performance milestone of the contract

C.

Yes, as it means the contract warranties are easier to change

D.

No, as it is an unfair contract term and places the supplier at a disadvantage in the contract

Buy Now
Questions 32

A procurement professional is working with a colleague from finance because the organization has been spending more money recently on inventory items. This is impacting the organization’s working capital. In particular, they are concerned that average inventory levels have increased significantly year-on-year. Which of the following should they calculate to help in their investigation?

Options:

A.

Rate of stock turn

B.

Age of receivables

C.

Profit margin

D.

Cash flow forecast

Buy Now
Questions 33

A major investment bank is planning to purchase a complex banking system that will interface with multiple applications at varying times of the day. Before deploying the system, there are various levels of testing that must be performed through joint testing between the in-house team and off-shore testing consultants. The testing will be performed in a resource-constrained shared environment and managed by the on-shore development team. The costs for testing are generally classified as...?

Options:

A.

Insurance

B.

Maintenance costs

C.

Acquisition costs

D.

Purchase prices

Buy Now
Questions 34

Which of the following statements is true?

Options:

A.

All indirect supplies are independent demand items

B.

Number of independent demand items may be derived from the forecast

C.

Dependent demand items are not directly correlated with production rate

D.

Car engine is an example of independent demand items in a car assembly plant

Buy Now
Questions 35

Which of the following is the correct statement about total ordering cost?

Options:

A.

Rise as the average stock level rises

B.

Equal the number of orders placed times the cost of placing an order

C.

Rise as the order quantity rises

D.

Fall with the per period usage rate

Buy Now
Questions 36

A restaurant needs to buy a new freezer. The owner applies total cost of ownership model to calcu-late the life-time cost of the freezer. This equipment has a price tag of $1,000, the supplier can offer free delivery if the restaurant pays off immediately. Estimated electricity consumption of the freezer is $200 in 5 years. The supplier ascertains that the freezer is very durable, buyer doesn't need to care about maintenance costs. However, if the restaurant needs better protection from breakdowns, the warranty is free for the first 12 months after the purchase. This warranty package can be extended once for another 24-month period with the cost of $75. After 5 years, the buyer will be able to resell this freezer for $250. What would be the estimated total cost of ownership of this freezer if the restaurant owner buys the extended warranty package?

Options:

A.

$1,025

B.

$1,200

C.

$1,275

D.

$1,525

Buy Now
Questions 37

A procurement manager has agreed a contract for the acquisition of a piece of capital equipment and has negotiated a staged payment contract of 30% with order, 30% on delivery, and the remaining 40% on acceptance testing. Was this the right thing to do?

Options:

A.

No, as it commits the organisation to purchasing the equipment and the supplier to deliver it

B.

Yes, as the payments can be linked directly to a specific performance milestone of the contract

C.

Yes, as it means the contract warranties are easier to change

D.

No, as it is an unfair contract term and places the supplier at a disadvantage in the contract

Buy Now
Questions 38

A piece of machinery has reached the end of its manufacturing life cycle and is due to be disposed of. What is the process that must take place for this to occur?

Options:

A.

Whole-life costing

B.

Inventory management

C.

Commissioning

D.

Decommissioning

Buy Now
Questions 39

XYZ Ltd is a retailer in the US. Their customers' demand for Thanksgiving and Christmas decora-tions usually rises in the end of the year. This irregular demand results in more required storage space for finished goods during peak seasons. Which of the following are possible solutions for dealing with required additional space?

1. Maximising aisle width

2. Keeping high buffer stock throughout the year

3. Maximising flexibility in warehouse layout

4. Installing mezzanine floor

Options:

A.

1 and 3 only

B.

2 and 4 only

C.

1 and 2 only

D.

3 and 4 only

Buy Now
Questions 40

Which type of codes can a barcode laser scanner (linear scanner) read?

Options:

A.

Numerical code

B.

QR code

C.

Aztec code

D.

1D barcode

Buy Now
Questions 41

Do all types of warehouses require access to daylight to reduce the cost of electricity?

Options:

A.

No, because only ventilation can help to reduce the humidity in the warehouse

B.

No, because some types of stock are sensitive to sunlight

C.

Yes, because sunlight sterilises inventories in damp conditions

D.

Yes, because organisation's need for artificial lighting and heating will reduce

Buy Now
Questions 42

PPC Refinery (UK) must close down an out-of-date refinery which has very poor environmental performance. The refinery is very sophisticated with many technically complicated machineries, lubricants, coolants and other chemical substances. Decommissioning the refinery is highly risky and hazardous. To manage the decommissioning process well, PPC project team must know these machineries and substances in details. Which document can provide the technical details on the refinery?

Options:

A.

Original specifications

B.

Non-disclosure agreement

C.

Code of Conduct

D.

Corporate social responsibility policy

Buy Now
Questions 43

A buyer has been asked to support the chief procurement officer with a whole-life cost analysis. What is the key benefit of a cross-functional team for the development of a whole-life costing model?

Options:

A.

It will ensure quicker access to all the data needed to develop the whole-life cost model

B.

It will ensure that the decision making process will be slowed down

C.

It will ensure that information is not shared

D.

It will ensure that no department is left out of the planning process

Buy Now
Questions 44

Which of the following statements is true of just-in-time (JIT) purchasing?

Options:

A.

In JIT purchasing, raw materials (or goods) are purchased so that products are delivered just as needed for production or sales

B.

Only disadvantage of JIT purchasing is the higher level carrying and inspection costs

C.

JIT purchasing is guided solely by the EOQ model because that model emphasizes the tradeoff between relevant carrying and ordering costs

D.

In JIT purchasing, the optimal safety-stock level is the quantity of safety stock that minimizes the sum of annual relevant stockout and carrying costs

Buy Now
Questions 45

Which of the following are holding costs? Select THREE that apply.

    Shipping costs

    Marketing fees

    Damaged goods

    Storage space

    Insurance costs

    Legal fees

Options:

A.

1, 3, and 5

B.

2, 4, and 6

C.

3, 4, and 5

D.

1, 2, and 6

Buy Now
Questions 46

In ABC analysis, category C is also known as...?

Options:

A.

Indirect spend

B.

Long tail spend

C.

Direct spend

D.

Capital expense

Buy Now
Questions 47

Hi-Tech Products Inc. (HTP) has just opened a new state-of-the-art distribution centre. It has invested heavily in new technology that will help manage, store, and identify stock items and their locations quickly and continuously. Its investment uses wireless technology. HTP will be using which of the following?

Options:

A.

Radio Frequency Identification (RFID)

B.

ABC classification management

C.

Handheld scanning devices

D.

Barcodes

Buy Now
Questions 48

Which of the following are main objectives of warehouse operations? Select TWO that apply.

Options:

A.

To ensure stock available when customers demand

B.

To create sufficient space for redundant stock

C.

To minimise stock loss and deterioration

D.

To generate check digits for a product code

E.

To maintain the highest level of buffer stock

Buy Now
Questions 49

Which of the following correctly describes the triple bottom line?

Options:

A.

Professional, Planet, Profit

B.

People, Planet, Project

C.

People, Product, Profit

D.

People, Planet, Profit

Buy Now
Questions 50

RFID uses radio frequencies for the purpose of identification and tracking of assets. Which of the following are disadvantages of using RFID? Select THREE that apply.

Options:

A.

RFID can be too expensive for many applications as compared to other tracking and identification methods

B.

RFID is a restriction in managing the updates of stocks during the transportation of products

C.

Interference has been observed to take place in RFID systems when devices such as hand-held, portable, two-way radios are in use

D.

RFID provides a much less robust type of security as compared to other forms of scanning system

E.

It is difficult for an RFID reader to read the information where tags are installed in liquid or metal products

Buy Now
Questions 51

Which of the following techniques are considered subjective forecasting methods

that assist with controlling inventory?

1. Market survey questionnaires

2. Moving average statistical calculation

3. Subject matter expert knowledge

4. Short-term cyclical movements

Options:

A.

1 and 4 only

B.

1 and 3 only

C.

2 and 3 only

D.

2 and 4 only

Buy Now
Questions 52

A cardiac department within a local hospital carries out a small number of specialist emergency care heart surgeries each year. The devices implanted in the patients can vary significantly depending on the condition of the patient. Therefore, the hospital requires a stock management technique that minimizes the cost of holding several different items of stock, without impacting the critical service levels, and allowing the supplier to retain the title of the stock until the hospital’s cardiac team utilizes it. Which of the following stock management techniques would enable the hospital to achieve this?

Options:

A.

Having strategically placed hospital-owned safety stock in various hospital storerooms

B.

Increasing the hospital's overall stock levels in all supplies

C.

Having vendor-owned stock in the hospital stores

D.

Subjective stock forecasting being undertaken by the doctors

Buy Now
Questions 53

A pharmaceutical firm offers a new drug called NC-01. After analysing the market, the firm realises that the demand is largely variable. But they still have to forecast the customer demand for the next production cycle. The new drug NC-01 is best described as which type of item?

Options:

A.

Dependent demand

B.

Indirect demand

C.

Overhead items

D.

Independent demand

Buy Now
Questions 54

Which of the following is a description of a distribution centre?

Options:

A.

A building which is rented to tenants, usually on a short-term month-by-month basis

B.

A large building for storing things before they are sold, used, or sent out to shops

C.

A large metal box of a standard design and size used for the transport of goods by road, rail, sea, or air

D.

A building that offers value-added services like product mixing, order fulfilment, cross-docking, and packaging

Buy Now
Questions 55

Practice of unloading goods from inbound delivery vehicles and loading them directly onto out-bound vehicles is known as ...?

Options:

A.

Tracing and tracking

B.

Automation

C.

Cross-docking

D.

Decommissioning

Buy Now
Questions 56

An organisation may incur additional costs in stockout events. Which of the following is an exam-ple of costs of inventory stockouts?

Options:

A.

The costs of storage space owned that cannot be used for other profitable purposes when inventories decrease

B.

The lost contribution margin on sales forgone as a result of customer dissatisfaction due to unavailability of goods

C.

The costs of obsolescence and costs of insurance that change with the quantity of in-ventory held

D.

The return forgone by investing capital in inventory rather than elsewhere

Buy Now
Questions 57

Warehouse automation involves the use of technology to perform as many warehousing tasks as possible. There are several benefits that can be gained by using automation in a warehouse. They are...

Options:

A.

Maintenance costs, downtime due to malfunction, investment costs, and reduced flexibility

B.

Decreased speed, increasing cost, improved efficiency, and maximising space

C.

Reduced customer service, reduced picking errors, reduced accidents, and minimised space utilisation

D.

Increased speed, decreasing cost, improved efficiency, and maximised space

Buy Now
Questions 58

Sidel Corp is a major food processor. It invested heavily on manufacturing facilities and processing machineries. Sidel's expenses on maintenance are exceptionally high. To minimise the total cost of maintenance, what should Sidel Corp do?

Options:

A.

Replace every machineries at breakdowns

B.

Only conduct preventative maintenance

C.

Outsource corrective maintenance but in-source preventative maintenance.

D.

Balance between proactive maintenance and reactive maintenance

Buy Now
Questions 59

The size of the order that minimizes the total cost of acquiring and holding stock is known as …

Options:

A.

Order quantity

B.

Economic order quantity

C.

Correct quantity

D.

Average stock

Buy Now
Questions 60

An organization might find it more beneficial to lease and use an asset over a predetermined period. After this period, the lessee has the right to secure outright ownership of the asset by paying an agreed amount; otherwise, the asset would be repossessed by the lessor. Which of the following is an advantage of leasing?

Options:

A.

Long-term commitment to pay installments even if not using the asset

B.

Costs are known and agreed in advance

C.

The usage of the asset is usually capped

D.

The total cost of ownership is not applicable as the asset is leased

Buy Now
Questions 61

A warehouse manager is evaluating the use of Automated Guided Vehicles (AGVs) within a non-repetitive task environment. After reviewing their use, the manager decided to invest in a number of AGVs. Was this decision correct?

Options:

A.

Yes, as it will reduce the costs of labor by replacing a human worker

B.

Yes, as it will increase stock picking accuracy and productivity

C.

No, as they are only suitable for use in repetitive task environments

D.

No, as it commits the organization to a large capital cost

Buy Now
Questions 62

Which of the following costs may be considered part of the holding costs of inventory?

    The cost of sales and the cost of ordering of the goods

    The cost of ordering and the cost of pilferage of the goods

    The cost of pilferage and the cost of insurance of the goods

    The cost of insurance and the cost of deterioration of the goods

Options:

A.

1 and 2 only

B.

1 and 3 only

C.

2 and 3 only

D.

3 and 4 only

Buy Now
Questions 63

A barcode is a series of vertical bars of varying widths in which each of the digits 0 to 9 are represented by a different pattern of bars that can be read by a laser scanner. Which of the following are disadvantages of using barcodes? Select THREE that apply.

    It requires optical line of sight (LOS) scanning to be effective

    It does not allow real-time data to be collected accurately

    Barcodes do not have read/write capabilities

    Data entry is a slow operation and prone to errors

    It is a new and unproven technology

    It is labour-intensive as it requires individual scanning

Options:

A.

1, 2, and 3

B.

1, 3, and 6

C.

2, 4, and 5

D.

4, 5, and 6

Buy Now
Questions 64

Which of the following represents the end-of-life cost of an asset?

Options:

A.

Payment of the suppliers' final invoice after the asset is commissioned

B.

The cost of replacing the asset if it is damaged in an accident

C.

The cost of decommissioning and scrapping the asset

D.

Disposal of waste generated from use

Buy Now
Questions 65

In a manufacturing organisation, which of the following explains an 'indirect' stock classification of items?

Options:

A.

Where the stock has been acquired from a distributor rather than another manufacturer

B.

Where the stock does not have to be paid for until it has been used by the manufacturer

C.

Where the stock is currently held in a warehouse owned by another organisation

D.

Where the stock is not used as part of manufacturing of the finished product

Buy Now
Questions 66

Which of the following are examples of subjective methods of forecasting? Select TWO that apply.

Options:

A.

Trend line analysis

B.

Seasonal variations

C.

Expert opinion

D.

Market research

E.

Moving averages

Buy Now
Questions 67

Which of the following are objectives of Just-in-Time (JIT) in the control of inventory? Select TWO that apply.

    To reduce the possible effect of stockout situations by increasing the level of buffer stocks

    To have sufficient safety stock to cover shortages due to the extension of lead time

    To ensure that products are free from defects and meet the quality expectations of the customer

    To reduce work-in-progress, finished goods, and sub-assembly inventories to zero

    To ensure that the cost of holding inventory is directly proportional to the value of the inventory

Options:

A.

1 and 2 only

B.

2 and 3 only

C.

3 and 4 only

D.

4 and 5 only

Buy Now
Questions 68

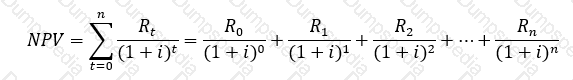
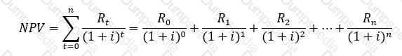
Assuming that all other factors are constant except one, the net present value of a capital expendi-ture increases when...?

Options:

A.

The initial cost of a project increases

B.

The discounted rate increases

C.

Net cash flow during a time period increases

D.

Cash outflow during a time period increases

Buy Now
Questions 69

Which of the following are features of product codes?

1. Product codes link to products' characteristics

2. A product code must comply with international standards

3. Many internal processes use the product codes as facilitators

4. There are no duplicate product codes

Options:

A.

2 and 4 only

B.

3 and 4 only

C.

1 and 3 only

D.

1 and 2 only

Buy Now
Questions 70

An organisation always obtains negative cash flow regarding removal and disposal of assets. Is this statement true?

Options:

A.

No, the organisation may recover the value of the assets by reselling it

B.

Yes, the organisation incurs high maintenance cost during the disposal processes

C.

Yes, some assets require enormous decommissioning costs

D.

No, disposal of assets always bring positive cash flow to the organisation

Buy Now
Questions 71

Under a Hire Purchase Agreement, ownership is transferred to the hirer...

Options:

A.

At the beginning of the contract

B.

When all instalments have been paid

C.

When half the instalments have been paid

D.

If the items are damaged by the hirer

Buy Now
Questions 72

With D is the annual demand (units), S is cost per order, H is annual carrying cost per unit; the formula for Economic Order Quantity is....?

Options:

A.

√(D*S/2H)

B.

√(2D*S/H)

C.

√(D*S*H)

D.

√(D*S/3H)

Buy Now
Questions 73

A local hospital has a highly complex piece of medical equipment delivering proton beam therapy that only one supplier in the world manufactures. Owing to the specialist nature of the equipment, the patient waiting list is extremely long. It is therefore essential that the equipment failure downtime is kept to an absolute minimum, as it would have a negative impact on patient treatment delays. Due to the complex nature and essential need of the equipment to be in continual use, which of the following packages will offer the most protection in ensuring reliability and reduced downtime arising from equipment failures throughout its lifetime?

Options:

A.

A corrective maintenance package

B.

A service and maintenance included package

C.

A parts-only maintenance package

D.

A 12-month from purchase warranty package

Buy Now
Questions 74

When accounting for the disposal of fixed assets, the gain or loss on disposal is equal to...?

Options:

A.

The difference between resale price and the cost or valuation less accumulated depre-ciation up to the date of disposal

B.

The difference between resale price and the cost of that asset

C.

The difference between resale price and the cost or valuation plus depreciation up to the beginning of the year in which disposal took place

D.

The difference between resale price and the cost of the asset less depreciation up to the beginning of the year in which disposal took place

Buy Now
Questions 75

U-shape flow layout can utilise handling equipment if the high demands items locate adjacent to shipping docks. Is this statement true?

Options:

A.

No, because aisles between racks in U-shape flow are too small for any handling equipment

B.

Yes, because U-shape layout allows S-line routing more efficient

C.

No, because cross-docking is impossible in U-shape flow warehouse

D.

Yes, because this layout places receiving docks and despatch docks close to one another

Buy Now
Questions 76

When considering the purchase of a capital asset, there are a number of factors to consider. These include cost of operation, spares, disposal and reuse. Which other factors could be considered?

1. Who owns the equipment

2. Compatibility with existing equipment

3. Contribution to turnover

4. Cost of maintenance

Options:

A.

1 and 3 only

B.

2 and 4 only

C.

1 and 44 only

D.

3 and 4 only

Buy Now
Questions 77

MRP software is applied to schedule which of the following?

Options:

A.

Tax accounting

B.

Production processes

C.

Human resource management

D.

Executive meetings

Buy Now
Questions 78

Which of the following factors can be considered when selecting the location of a new warehouse facility? Select THREE that apply.

    Cost of land

    Product pricing

    The nature of the items to be stored

    Access to transport infrastructure

    The reputation of the company

    Profit margin

Options:

A.

1, 3, and 4

B.

2, 3, and 6

C.

2, 5, and 6

D.

1, 4, and 5

Buy Now
Questions 79

Is it correct to state that the accuracy of demand forecasts depends on the accuracy of the available information?

Options:

A.

Yes, and that information can only be verified and approved by the suppliers

B.

Yes, including other considerations such as the validity and reliability of the information

C.

No, considerations such as the skill and objectivity of the forecasters are always more important

D.

No, the only information determining the accuracy of demand forecasts is extracted from stock issue notes

Buy Now
Questions 80

A company has obsolete inventories and it must write off these inventories. How does writing off inventories impact on the company's financial statements?

1. Stock increases

2. Stock decreases

3. Profit increases

4. Profit decreases

Options:

A.

2 and 4 only

B.

1 and 3 only

C.

2 and 3 only

D.

1 and 4 only

Buy Now
Questions 81

Which of the following factors will need to be taken in to account when deciding on the location of a warehouse?

Options:

A.

Cost of land, rent and rates

B.

Internal design and layout of the warehouse

C.

Proximity to local amenities and fast food outlets

D.

Duration of lease or freehold of the property

Buy Now
Questions 82

Resevoir Inc runs several oil refineries across the country. These refineries require heavy invest-ment, particularly in maintenance, repair and operating (MRO) inventory. But the inventory turno-ver rate of these MRO items are low, while some items have expired date, which increases the risks of obsolescence. Which of the following methods can address the issues of these MRO items?

Options:

A.

Forrester effect

B.

Just in case

C.

Larger safety stock

D.

Vendor-owned stock

Buy Now
Questions 83

Which of the following are the different types of inventory that a manufacturing company usually has?

1. Work in progress

2. Economic order quantity

3. Raw materials

4. Finished goods

Options:

A.

1, 3 and 4

B.

1, 2 and 4

C.

2, 3 and 4

D.

2, 3 and 4

Buy Now
Questions 84

A central distribution warehouse receives deliveries from several suppliers of bread and cakes on pallets in large quantities. These deliveries need to be separated into smaller individual consignments for delivery to retail stores operated by the bakery company. The division of the large quantities into smaller consignments is called:

Options:

A.

Cross-docking

B.

Breaking bulk

C.

Small orders

D.

Retail stocking

Buy Now
Questions 85

Which of the following are critical factors that must be considered when evaluating warehouse or storage locations?

    The cost of the proposed location

    Who owns the storage location or warehouse

    Access to transport networks

    The number of windows in the building

Options:

A.

1 and 3 only

B.

2 and 3 only

C.

2 and 4 only

D.

1 and 4 only

Buy Now
Questions 86

Which ONE of the following correctly differentiates between obsolescent and redundant stock?

Options:

A.

Obsolescent stock is in short supply; redundant stock has no current supplier with stock available

B.

Obsolescent stock is damaged goods that need returning to suppliers; redundant stock is no longer stocked by the organisation

C.

Obsolescent stock has been updated by another item but can still be used; redundant stock is no longer used by an organisation

D.

Obsolescent stock has been supplied by a failed supplier; redundant stock requires quality testing before use

Buy Now
Questions 87

'The main consideration in designing the layout of a warehouse is the size of the storage space utilized.'

Is this statement TRUE?

Options:

A.

Yes, because large space provides assurance that stocks will not run out

B.

Yes, because suppliers need to be assured that the orders they receive will have storage when delivered

C.

No, because other considerations such as the traffic flow within the store are important

D.

No, because the most important consideration in stores design is the location of the main exit

Buy Now
Questions 88

Your employers have expanded rapidly over the past five years and have acquired a number of smaller companies in the same industry. Unfortunately, all of the companies purchased have manual inventory systems. Your employer is setting up a computerised inventory control system and wishes to ensure that all stock is classified under the appropriate headings. Under what classification would semi-finished goods be classified?

Options:

A.

Indirect inventories

B.

Direct inventories

C.

Acquisition costs

D.

Material costs

Buy Now
Exam Code: L4M7
Exam Name: Whole Life Asset Management
Last Update: Apr 14, 2026
Questions: 294
$57.75  $164.99
$43.75  $124.99
$36.75  $104.99
buy now L4M7