Choose the correct answer:
Which element in the following sequence diagram could correspond to a signal?

Choose the correct answer:
Which diagram shows inherited properties?
A)

B)

C)

D)Inherited properties cannot be shown In a specialized class.
Choose the correct answer:
The stale machine below is in state1:

When does it transition to state2?
Choose the correct answer:
Which statement is correct about an Activity Parameter Node?
Choose the correct answer:
What is the key difference between DataTypes and Classes?
Choose the correct answer:
Which statement is correct regarding the diagram below?

Choose the correct answer: Consider the following scenario:
The "Withdraw Money" action can only be executed after the amount to withdraw is entered and the account contains sufficient funds. After the action is executed, the account balance is updated.
Which diagram models this scenario
A)


B)

C)

D)

Choose the correct answer:
What is the defining characteristic of a domain model?
Choose the correct answer:

The state machine in the diagram below is in the Start state when an event of type Ev occurs. At that time, the value of local variable VAR is equal to zero.
Which stale will the state machine be in after the run-to-completion step triggered by this event completes?
Choose the correct answer:
Given the diagram fragment below:

What are the possible values for the attribute response in the class Query?
Choose the correct answer:
Exactly two Player Instances are involved in the "Play Tennis" Use Case.
Which diagram depicts this scenario correctly?
A)

B)

C)

D)

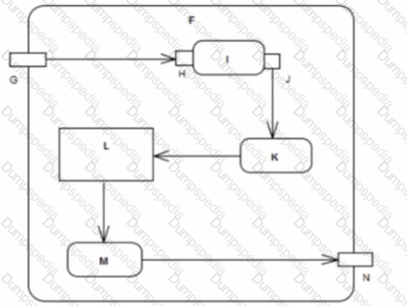
Choose the correct answer: Consider the following diagram:

How many object nodes in total are shown?
Choose the correct answer:
Consider the following diagram:

Which statement is true about the diagram?
Choose the correct answer:
What represents the most appropriate use of UML during software development?
Choose the correct answer:
What is the meaning of the relationship shown in the diagram below?

Choose the correct answer:
For projects involving complex and strategic systems, what is a key advantage of developing models before starting implementation?
Choose the correct answer:
Which UML term pair captures complementary ways of looking at a relationship?
Choose the correct answer:
Consider the following class diagram:

Which statement is true about the class diagram?
Choose the correct answer:
Which diagram contains only valid relationships?
A)

B)

C)

D)

Choose the correct answer:
In the model shown below, what is gained by using the Extend relationship?

Choose the correct answer:
What is the name of the property represented by the leftmost lifeline in the following diagram?

Choose the correct answer:
Which category of stakeholders should have prime responsibility for making decisions on the contents of a domain model, and why?
Choose the correct answer:
Which statement is always true about the following sequence diagram?
