Refer to the exhibit.

The collector is registered and has pulled the license file from the supervisor.
What are the consequences of removing the license file?
A service provider purchased a 500-EPS license and configured a new collector with 100 EPS for customer A, and another collector with 200 EPS for customer B.
How much is in the remaining EPS pool for future customers and for MSSP itself?
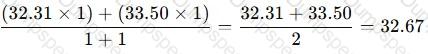
Refer to the exhibit.

The profile database contains CPU utilization values from day one. At midnight on the second day, the CPU utilization values from the daily database will be merged with the profile database.
In the profile database, in theHour of Daycolumn where9is the value, what will be the updated minimum, maximum, and average CPU utilization values?
Refer to the exhibit.

What are three possible reasons why theAgent StatusdisplaysRunning Inactive? (Choose three.)
Refer to the exhibit.

Why is the windows device still in the CMDB, even though the administrator uninstalled the windows agent?
Which three statements about collector communication with the FortiSIEM cluster are true? (Choose three.)
When you perform a Group By on a structured query, which two outcomes occur? (Choose two.)
Refer to the exhibit.

An administrator deploys a new collector for the first time, and notices that all the processes expect the phMonitor are down.
How can the administrator bring the processes up?
Refer to the exhibit.

The window for this rule is 30 minutes.
What is this rule tracking?
Refer to the exhibit.

The rule evaluates multiple VPN logon failures within a ten-minute window. Consider the following VPN failure events received within a ten-minute window:

How many incidents are generated?